Radioactive Oil Sludge Treatment
Project Summary: This project focused on the remediation of radioactive petroleum oil sludge using advanced oxidation processes (AOPs), surfactants, and microwave-assisted processes. Through ozonation and surfactants & microwaves, the objective was to degrade the organic fraction and stabilize radioactive contaminants, in addition to diminish volume, for safer disposal.
Key Contributions:
- Developed an ozonation system for the treatment of radioactive oil sludge
- Applied gamma spectrometry for process monitoring
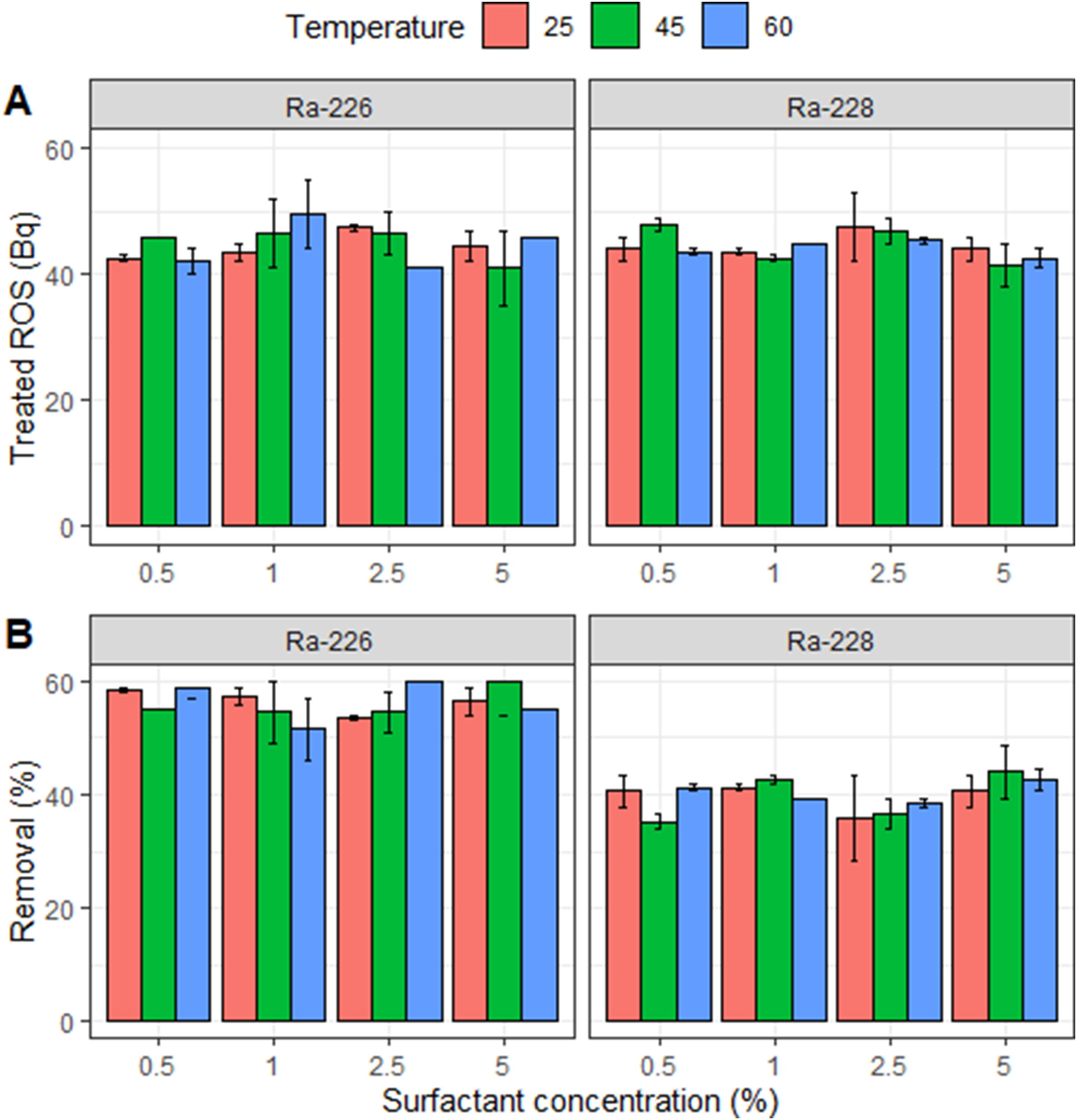
- Analyzed the behavior of radionuclides (Ra, Pb) during treatment
Techniques Used: Ozone treatment, microwave pyrolysis, surfactants, electron beam irradiation, and gamma spectrometry
Publications:
Image Credits:
- Figure 1: Adapted from Enhanced removal of radium from radioactive oil sludge using microwave irradiation and non-ionic surfactant, Journal of Petroleum Science and Engineering (2022).
- Figure 2: Adapted from Physicochemical modifications of radioactive oil sludge by ozone treatment, Journal of Environmental Chemical Engineering (2020).
- Figure 3: Adapted from Preliminary studies on electron beam irradiation as a treatment method of radioactive oil sludge, Brazilian Journal of Radiation Sciences (2020).
← Back to Portfolio